收藏!成都市城乡社区24小时应急值守联系方式公布
2021年11月09日 19:14:40 来源:四川新闻网 记者 李丹 编辑:尼玛准
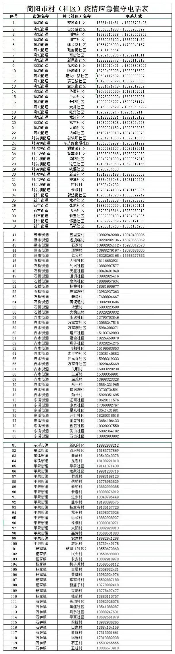
四川新闻网-首屏新闻成都11月9日讯(记者 李丹)9日,成都市社治委发布消息,为切实做好社区疫情防控工作,方便广大市民与所在社区联系报备,咨询了解社区疫情防控政策措施,将成都市城乡社区24小时应急值守联系方式公布。
2
高新区
3
东部新区
4
锦江区
5
青羊区
6
金牛区
7
武侯区
8
成华区
9
龙泉驿区
10
青白江区
11
新都区
12
温江区
13
双流区
14
郫都区
15
新津区
16
简阳市
17
都江堰市
18
彭州市
19
邛崃市
20
崇州市
21
金堂县
22
大邑县
23
蒲江县
联系方式由成都市社治委提供
本网(平台)所刊载内容之知识产权为四川新闻网传媒(集团)股份有限公司及/或相关权利人专属所有或持有。未经许可,禁止进行转载、摘编、复制及建立镜像等任何使用。
![]() |
