川浙“互宠” 成都大运会期间浙江494家景区将为四川游客减免门票
2023年07月07日 11:25:29 来源:四川新闻网 记者 戴璐岭 编辑:刘亚宇
四川新闻网-首屏新闻成都7月7日讯(记者 戴璐岭)川浙大力度“互宠”游客,长江首尾再次梦幻联动!
今年,第31届世界大学生夏季运动会将在成都举行,第19届亚运会、第4届亚残运会将在杭州举行。记者从四川省文化和旅游厅获悉,赛事举办期间,四川、浙江两地将互相通过景区免门票等优惠举措,错时吸引分流本地市民赴对方省(市)旅游,进一步推动浙川东西部协作走深走实。
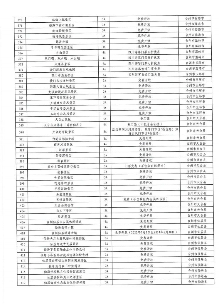
大运会将于本月28日在成都开幕。7月20日至9月10日期间,浙江省11个地市共有494家3A级(含)以上旅游景区参与减免活动,针对四川游客送上暖心“宠客”优惠政策,其中包括杭州市西湖风景名胜区、嘉兴市南湖旅游区、丽水市缙云仙都景区等5A景区10家,4A景区148家,诚意邀请四川游客趁着暑假在大运会期间错时游览诗画浙江。
据悉,今年9月至10月杭州亚运会、亚残运会举办期间,四川也将针对浙江游客推出景区减免门票等优惠政策,邀请浙江游客体验安逸四川。
四川与浙江,一个位于长江头、一个位于长江尾,伴随着新一轮东西部协作战略深入实施,两省文化和旅游部门自上而下建立协作推进工作机制,在多个文旅领域开展携手合作,“山海情”更深。此次两地创新推出错时分流引客,互相拓展旅游客源市场,推动共同发展。
附件:大运会期间面向四川游客门票减免浙江景区汇总表











点击图片查看更多精彩内容
本网(平台)所刊载内容之知识产权为四川新闻网传媒(集团)股份有限公司及/或相关权利人专属所有或持有。未经许可,禁止进行转载、摘编、复制及建立镜像等任何使用。
![]() |

